최근 글로벌 AI 기술 트렌드에서 Qwen3.6-Plus가 가장 뜨거운 감자로 떠올랐습니다. 이 모델이 주목받는 핵심 이유는 단순한 성능 향상이 아니라, AI 의 역할이 수동적인 답변 제공자에서 능동적인 작업 수행자인 실세계 에이전트로 진화하고 있다는 점에 있습니다. Qwen 공식 블로그에서 밝힌 바와 같이, 이번 업데이트는 채팅, 이미지 및 영상 이해, 문서 처리, 웹 검색 통합, 그리고 도구 활용에 이르기까지 폭넓은 기능을 하나의 플랫폼에 통합하여 실제 환경에서 독립적으로 목표를 달성하는 능력을 강화하는 데 초점을 맞추고 있습니다.
하지만 이 모델에 대한 시장의 반응은 복잡합니다. Hacker 뉴스 등 주요 기술 커뮤니티에서는 Qwen 팀이 과거에 공개했던 오픈 가중치 모델들의 성공적인 전략을 바탕으로 호스팅 전용 모델을 출시했다는 점에 주목하면서도, 동시에 다소 냉소적인 시각을 보였습니다. 많은 전문가들은 Qwen 이 이전 모델들을 무료로 배포하며 브랜드 인지도를 높인 전략을 취했다면, 이번 Qwen3.6-Plus 는 그 여파를 이용해 경쟁사들과 직접 대결할 수 있는 상용 모델을 내놓은 것으로 해석합니다. 특히 오픈 가중치가 아닌 호스팅 전용 모델이라는 점이 공개된 시점부터 논란의 중심에 섰으며, 일부 사용자는 이것이 Qwen 의 본래 정체성인 오픈성에서 멀어지는 것이라는 아쉬움을 표하기도 했습니다.
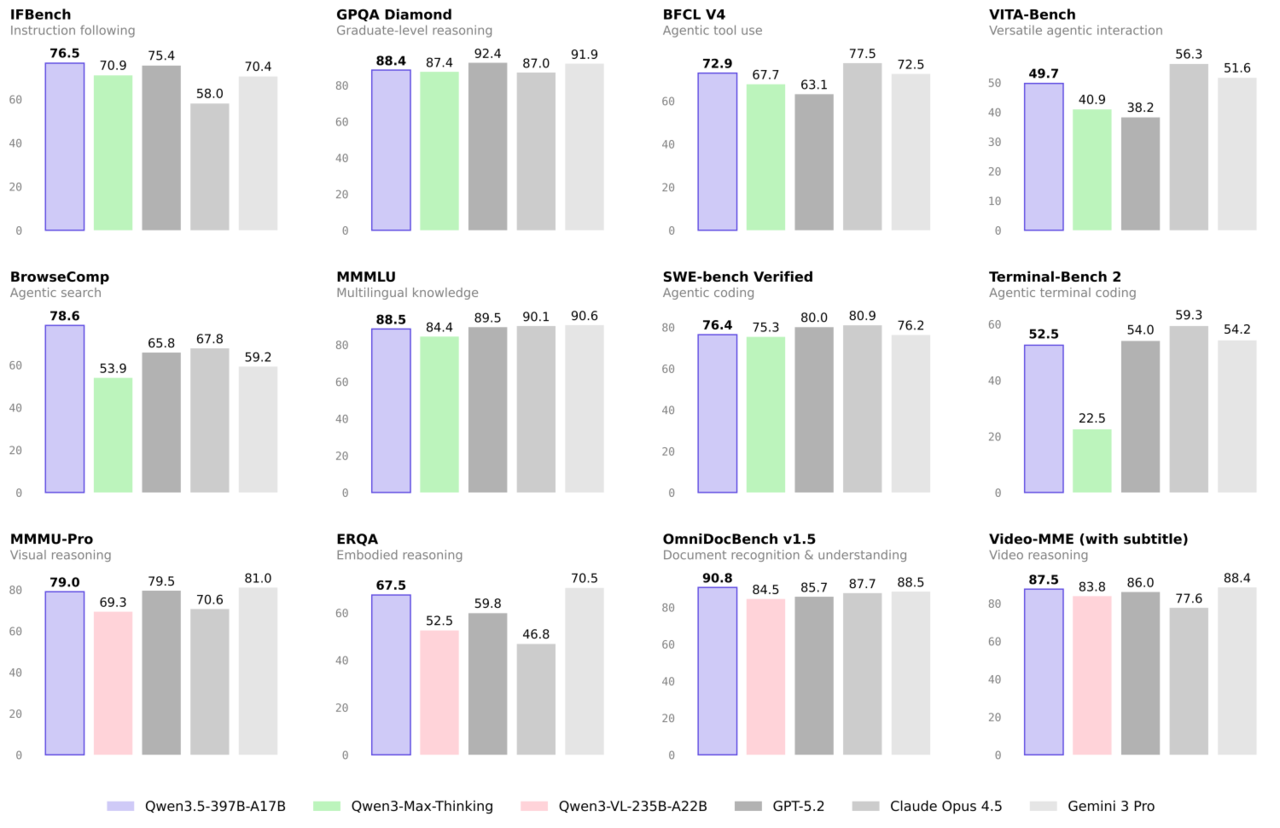
더욱 흥미로운 점은 벤치마크 비교 방식에 대한 논쟁입니다. Qwen3.6-Plus 가 최신 모델인 Opus 4.6 이나 Gemini Pro 3.1 대신 이전 세대인 Opus 4.5 나 Gemini Pro 3.0 과 비교를 시도했다는 사실이 지적받으며, 이는 다소 기만적인 마케팅 전략이라는 비판을 받기도 했습니다. 하지만 반대의 의견도 만만치 않습니다. 기술 발전 속도가 매우 빠른 현재 시점에서 이전 세대 모델의 성능을 완전히 잊어버린 채 새로운 모델만 바라보는 것은 비현실적이며, 오히려 Qwen3.6-Plus 가 GLM-5 나 Kimi K2.5 와 같은 경쟁 모델들과 비교했을 때 보여준 성능은 여전히 매우 인상적이라는 평가가 지배적입니다. 이는 단순히 점수 경쟁을 넘어, 실제 업무 환경에서 얼마나 효율적으로 작동하는지가 더 중요한 평가 기준이 되고 있음을 시사합니다.
앞으로 주목해야 할 점은 Qwen3.6-Plus 가 제시한 ‘저렴한 비용으로 SOTA 수준의 성능을 제공하지는 않지만, 실용적인 에이전트 역할을 수행할 수 있는 모델’이라는 포지셔닝이 시장에서 얼마나 성공할 것인가입니다. API 토큰을 주로 사용하는 사용자들은 브랜드 충성도보다 가격과 성능의 효율성을 우선시하는 경향이 강해, 이 틈새시장을 공략하려는 Qwen 의 전략이 얼마나 오래갈지 지켜볼 필요가 있습니다. 벤치마크 점수 자체보다는 실제 에이전트로서 복잡한 작업을 수행하는 능력과 비용 효율성을 어떻게 증명해낼지가 Qwen 의 향후 행보를 가를 중요한 열쇠가 될 것입니다.