단순한 코드 보충을 넘어 자율적으로 작업을 수행하는 AI 에이전트 군집을 관리하는 통합 워크스페이스로 진화한 커서 3. 개발자가...
요즘뜨는소식
2021년 이후 출시된 맥북 프로의 상단 노치로 인해 메뉴바 아이콘이 가려지는 문제가 개발자와 사용자 사이에서 큰 이슈가...
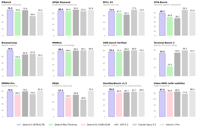
오픈 가중치 모델로 이름을 알렸던 Qwen이 이번에는 호스팅 전용 모델로 전환하며 실세계 에이전트 시장을 공략하고 있습니다. 단순한...
전직 애저 코어 엔지니어가 작성한 기고문이 글로벌 기술 커뮤니티를 뜨겁게 달구고 있다. 내부 의사결정 과정이 어떻게 사용자...
구글이 공개한 젬마 4는 단순한 모델 업데이트를 넘어 모바일과 IoT 기기에서 고성능 추론을 가능하게 하는 오픈 소스...
개발자가 AI 와 함께 작업하는 방식이 근본적으로 변하고 있습니다. Yeachan Heo 가 공개한 오픈소스 프로젝트 oh-my-codex 가...
정밀하지만 일회성인 촉매와 재사용 가능하지만 효율이 낮은 촉매 사이의 난제를 해결한 KAIST의 혁신적 연구가 화학 및 제약...
글로벌 모빌리티 거인 우버가 국내 1위 플랫폼 카카오모빌리티를 인수하려는 움직임을 보이며 업계의 이목을 집중시키고 있다. 양사의 입장이...
봄철 산행 준비를 앞둔 소비자들의 눈길을 사로잡은 블랙야크의 방풍 자켓이 지마켓과 같은 온라인 쇼핑몰에서 파격적인 가격대에 등장하며...
최근 온라인 커뮤니티를 중심으로 온누리몰의 순살 춘천 및 간장 닭갈비가 폭발적인 관심을 받고 있습니다. 500g 두 팩에...